NCCK, 백년의 발자취
제13회 조선기독교연합공의회
[1936년 9월 22일, 경성부 종로야소교서회]




제12회 조선기독교연합공의회
[1935년 9월 18일, 경성 정동예배당]








제11회 조선기독교연합공의회
[1934년 9월 19-20일, 개성북부예배당]











제10회 조선기독교연합공의회
[1933년 9월 19-21일, 경성부 서대문정 신문내교회]












제9회 조선기독교연합공의회
[1932년 9월 16-17일, 평양부 서문외신학교]











제8회 조선기독교연합공의회
[1931년 9월 19일, 경성 정동예배당]






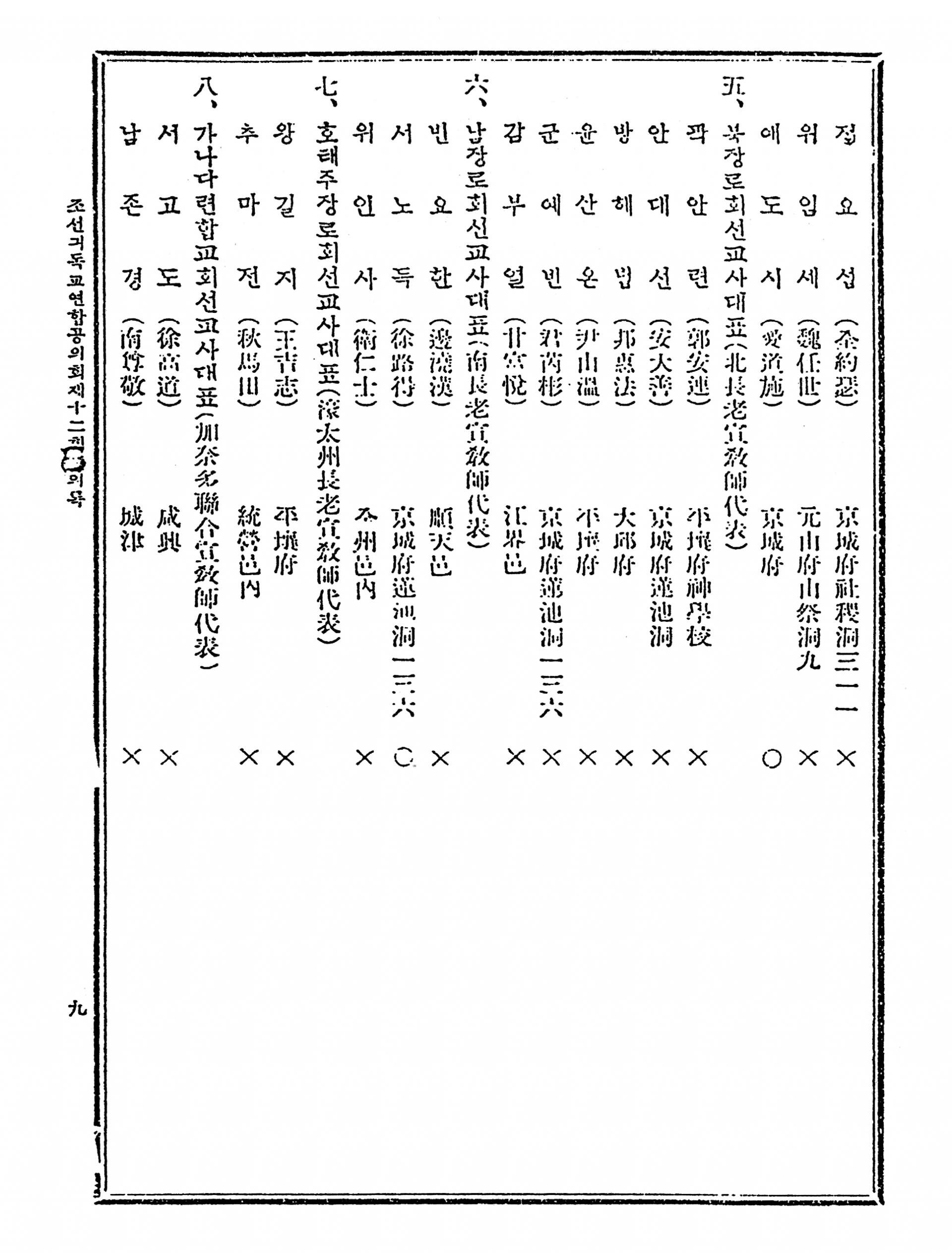
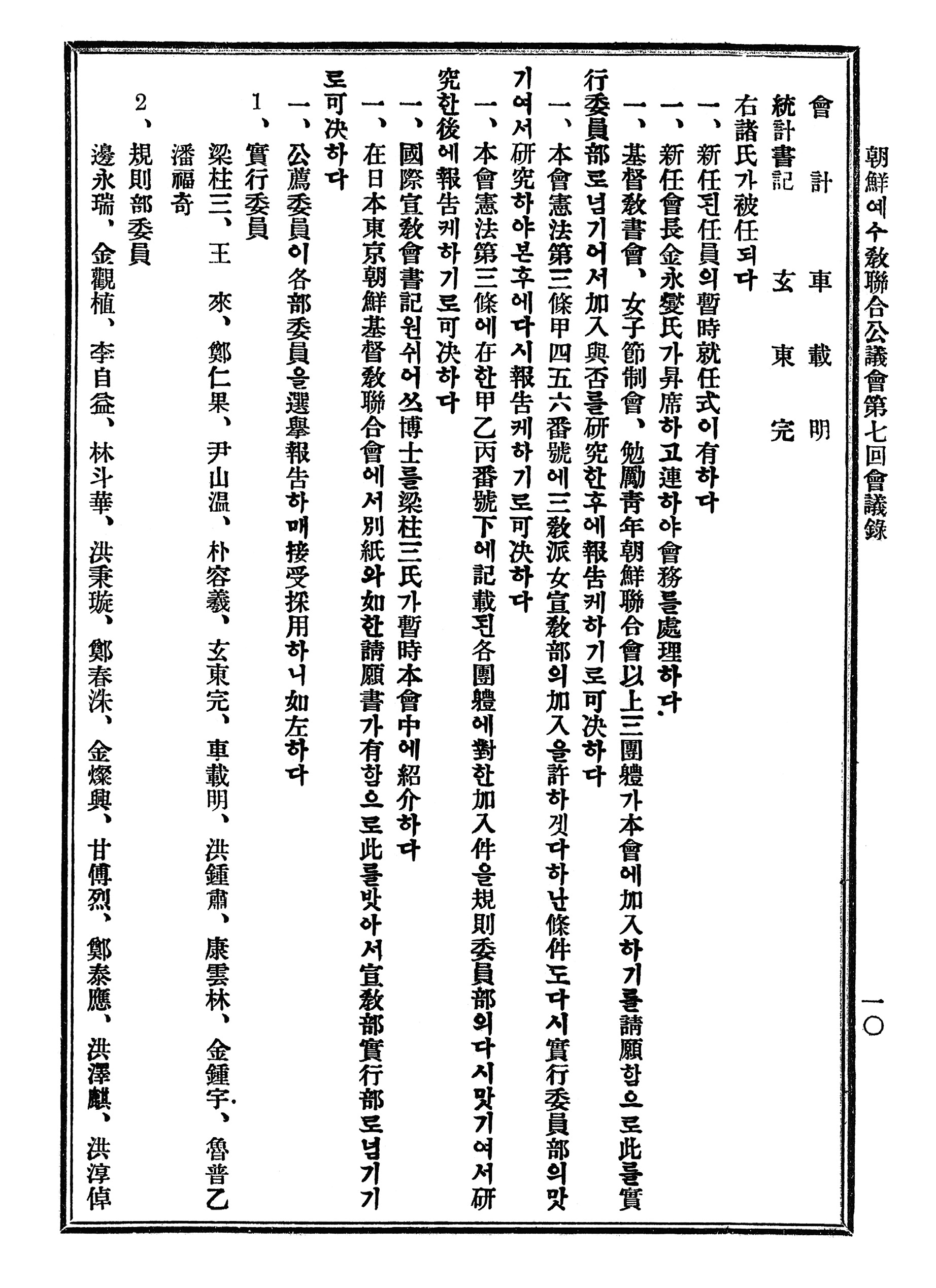
제7회 조선예수교연합공의회
[1930년 9월 19일, 개성부 북부예배당]





제6회 조선예수교연합공의회
[1929년 9월 13일, 경성종로조선중앙기독교청년회관]
























제5회 조선예수교연합공의회
[1928년 9월 14일]
【하나되는 교회, 그리고 세계 - 한국기독교교회협의회 70년 연표】 18쪽, 168쪽
【한국기독교사회운동사 자료집 제1권】에서는 제5회 총회가 개최되지 않은 것으로 보고 있다.
“제5회 총회는 1928년 9월에 개최되지 못한 것으로 보이며, 이듬해인 1929년 4월 경성YMCA에서 개최된 대회가 제5회 대회를 대체한 것으로 보인다. 같은 해 경성YMCA에서 제6회 회의가 연이어 개최되었다.” 【한국기독교사회운동사 자료집 제1권】 15쪽
그러나 【하나되는 교회, 그리고 세계 - 한국기독교교회협의회 70년 연표】에서는 1928년 9월 14일에 제5회 총회가 개최되었다고 기록되어 있다. 임원 명단에 대해서는 약간의 혼선이 존재한다.
제4회 조선예수교연합공의회
[1927년 9월 20일, 경성 정동예배당]



